충남대학교 사회과학연구소 학술지영문홈페이지
[ Article ]
Journal of Social Science - Vol. 36, No. 3, pp.283-307
ISSN: 1976-2984 (Print)
Print publication date 31 Jul 2025
Received 07 Feb 2025 Revised 24 Jun 2025 Accepted 15 Jul 2025
DOI: https://doi.org/10.16881/jss.2025.07.36.3.283

자활사업 참여자의 자활의지가 우울을 매개하여 삶의 만족도에 미치는 영향: 대중교통 편리성의 조절효과 및 조절된 매개효과를 중심으로

고현종 ; 강준혁
성균관대학교
을지대학교
The Impact of Self-Sufficiency Motivation on Life Satisfaction Among Participants in a Self-Sufficiency Program: The Mediating Role of Depression, and the Moderating Effect of Accessibility in Public Transportation
HyeonJong Ko ; JunHyeok Kang
Sungkyunkwan University
Eulji university

Correspondence to: 강준혁, 을지대학교 휴먼서비스학부 사회복지전공 교수, 경기도 성남시 수정구 산성대로 553, E-mail : junhyeok@eulji.ac.kr 고현종, 성균관대학교 국정전문대학원 행정학 박사과정(제1저자)

초록

본 연구는 자활사업 참여자를 대상으로 자활의지가 우울을 매개하여 삶의 만족도에 미치는 영향과 이러한 관계에서 대중교통 편리성의 조절효과 및 조절된 매개효과를 검증하는 것을 목적으로 한다. 자료는 “2023년 자활사업 참여자 실태조사”를 활용하였다. 연구결과는 다음과 같다. 첫째, 자활의지는 삶의 만족도에 긍정적인 영향을 미쳤고, 우울을 완화하는 데 기여했다. 둘째, 우울은 삶의 만족도를 감소시키는 요인으로 작용했고, 자활의지와 삶의 만족도 간 관계에서 부분 매개효과가 있었다. 셋째, 대중교통 편리성은 자활의지가 삶의 만족도에 미치는 경로에서 조절효과 및 조절된 매개효과를 보여, 대중교통이 편리할수록 자활의지의 긍정적 영향이 강화되었다. 시사점으로 첫째, 자활의지와 우울, 삶의 만족도 간 관계를 구조적으로 입증하고, 대중교통 편리성의 조절효과를 밝혀냄으로써 이론적 확장에 기여하였다. 둘째, 참여자들의 자활의지 강화와 교통 인프라 개선에 초점을 맞춘 정책 추진의 필요성을 제시하였다. 한계점 및 향후 연구방향으로 첫째, 횡단연구로 인한 인과관계 명확화에 한계가 있으므로 향후 종단연구로 수행할 필요가 있다. 둘째, 대중교통 편리성의 효과가 지역별 상이할 가능성을 고려하지 못하여 향후 지역적 차이를 분석할 필요가 있다.

Abstract

This study investigates the influence of self-sufficiency motivation on life satisfaction among participants in Korea’s Self-Sufficiency Program, focusing on the mediating role of depression and the moderating and moderated mediating effects of public transportation accessibility. Data were drawn from the “2023 National Survey on Self-Sufficiency Program Participants.” The key findings are as follows. First, self-sufficiency motivation had a significant positive effect on life satisfaction and contributed to the reduction of depressive symptoms. Second, depression functioned as a negative predictor of life satisfaction and partially mediated the relationship between self-sufficiency motivation and life satisfaction. Third, the accessibility of public transportation moderated both the direct and indirect paths from self-sufficiency motivation to life satisfaction, indicating that greater transportation convenience reinforced the beneficial effects of motivation on life satisfaction. The theoretical implications of this study lie in structurally validating the relationships among self-sufficiency motivation, depression, and life satisfaction, while also identifying the conditional role of transportation infrastructure. From a policy perspective, the findings underscore the importance of enhancing participants’ self-sufficiency motivation and improving local transportation systems to support sustainable self-reliance. Limitations and suggestions for future research were also discussed, including the cross-sectional design that limits causal inference and the need to consider regional disparities in transportation accessibility in subsequent studies.

Keywords:

Self-Sufficiency Program, Self-Sufficiency Motivation, Depression, Life Satisfaction, Public Transport Accessibility

키워드:

자활사업, 자활의지, 우울, 삶의 만족도, 대중교통 편리성

1. 서 론

우리나라는 2000년 국민기초생활보장제도 시행 이후 근로능력이 있는 저소득층을 대상으로 자활사업 참여 조건으로 생계급여를 지급하고, 다양한 자활사업 참여 기회와 체계적인 자활지원 서비스를 제공해왔다(보건복지부, 2016). 자활사업은 무기력증 극복, 자기 존중감과 생활 의욕 향상, 대인관계 능력 개선 등 참여자의 자활의지 제고에 기여한다(정원오, 김진구, 2005). 이에 따라 자활참여자들은 자활사업을 통해 근로활동 및 자신에 대한 긍정적인 인식과 태도를 형성하고, 이는 가족 및 친지 관계와 생활 태도에도 긍정적인 변화를 가져오기도 하였다(박주영, 2021). 그러나 중앙정부와 지자체의 지속적인 예산 증가 및 노력에도 불구하고 탈수급 자활사업의 성과는 여전히 저조하여 사회적 기대에 미치지 못하고 있다(박소영, 도광조, 김동주, 2020). 이로 인해 자활사업 참여자들은 근로 수행에서 무력감을 느끼며, 그중 상당수는 자활의지를 약화시키는 심리적 문제를 경험하고 있다(이정민, 홍민희, 2022). 자활의지가 낮을 경우 자활사업 참여자들은 경제적 자립과 자활 목표 달성에 어려움을 겪으며, 이는 자활사업의 효과성에 부정적인 영향을 미친다(Lennon, Blome, & English, 2001). 이러한 점에서 자활의지는 자활사업 참여자들이 우울감과 무기력증을 극복하고 자립을 목표로 지속적으로 나아갈 수 있는 중요한 원동력으로 작용한다.

삶의 만족도는 자활사업 참여자들이 자립적인 삶을 유지하는 데 있어 중요한 기준이 된다. 자활사업의 궁극적인 목표는 경제적 자립을 이루는 것뿐만 아니라, 자활사업 참여자들이 긍정적인 삶의 태도를 형성하고 자립적인 삶을 영위하는 것이다.

따라서 자활사업 참여자들이 직면하는 우울증이나 심리적 어려움은 이들의 삶의 만족도를 크게 저하시킬 수 있으므로, 이러한 측면에서 삶의 만족도는 자활사업의 성공 여부를 판단하는 중요한 기준으로 작용할 수 있으며, 자활의지와 우울 등 다양한 변수들과 상호작용하여 복합적인 결과변수로 다루어야 할 필요성이 있다.

자활사업 참여자들은 대부분 일반 노동시장에서 경쟁에서 밀려난 계층으로, 다시 일반 노동시장으로 복귀하기에는 여러 한계가 존재한다(엄태영, 2013; 구인회, 2002). 또한, 경제적 자립이 가능해져도 빈곤이 반복적으로 지속되어 복지혜택에 의존할 가능성이 높다(Ku, 2002). 따라서 자활사업의 목표는 단순한 소득 활동을 넘어 참여자 스스로 저소득 상태를 극복하고 자립할 수 있는 자활의지 함양 및 유지에 있다(송인한, 박장호, 김리자, 2012; Hong, Choi, & Key, 2018). 특히, 자활의지는 물질적 지원만으로는 유지되기 어렵고, 심리상담이나 정서적지지 프로그램과 같은 비물질적 지원과 생활 환경적 요소(예: 교통 접근성, 사회적 네트워크, 지역사회 인프라 등)가 함께 충족되어야 함을 고려해야 하며, 이는 비물질적 지원과 환경적 요소들이 자활의지를 강화시키는 중요한 역할을 한다고 할 수 있다(박소영, 도광조, 김동주, 2020). 이에 따라 자활사업 참여자들의 자활의지와 삶의 만족도에 있어 심리적·정서적 지원과 외부 환경적 요인이 갖는 중요성은 더욱 강조되어야 하며, 이를 규명하는 연구는 정책적 실효성을 제고하는데 필수적이다.

자활의지와 삶의 만족도 간 관계에서 우울의 매개역할을 이해하는 것은 중요하다. 그 이유는 자활의지가 강한 참여자는 자립적인 삶을 추구하며, 이를 통해 긍정적인 삶의 태도를 유지하려는 경향이 있기 때문이다. 하지만, 우울증은 이러한 자활의지를 방해하고, 자활사업 참여자들의 자활의지 실현에 장애물이 될 수 있다. 이에 따라 자활사업 참여자의 자활의지와 삶의 만족도 간 관계에서 우울에 매개역할을 명확히 규명하는 것은 자활사업의 효과성을 제고하는 데 필수적일 수 있다. 본 연구는 자활의지가 우울을 완화하고, 우울이 삶의 만족도에 미치는 부정적인 영향을 경감시킬 수 있는지를 규명함으로써, 자활사업 참여자들의 심리적 안정과 삶의 만족도를 높이기 위한 정책적 방안을 제시하고자 한다.

자활의지와 삶의 만족도 간 관계에서 대중교통과 같은 외부 환경적 요인도 큰 영향을 미칠 수 있다. 그 이유는 대중교통은 근로 및 일상생활의 접근성을 높여 경제적 기회를 확대하고 사회적 참여를 증진시키는 중요한 역할을 하기 때문이다(이금숙, 1995; Hansen, 1959). 예를 들어, 교통 접근성이 높은 경우 참여자들은 근로 기회를 더욱 쉽게 활용할 수 있으며, 이는 삶의 만족도와 주관적 웰빙에 긍정적으로 기여할 수 있다(허우긍, 2004). 하지만 현재 자활사업은 물질적 지원에 집중되어 있어, 정신적 지원 프로그램이나 교통 접근성과 같은 환경적 요인을 충분히 고려하지 못하고 있는 실정이다. 따라서, 본 연구는 대중교통 편리성이 자활사업 참여자들의 삶의 만족도에 미치는 영향을 단순한 직접효과로 살펴보는 것이 아닌 대중교통 편리성이 자활의지와 우울 간 관계를 어떻게 조절하는지 분석하고자 한다. 즉, 대중교통의 편리성이 높을수록 자활의지가 삶의 만족도에 미치는 긍정적인 영향이 강화될 수 있으며, 우울감이 낮을수록 삶의 만족도가 향상될 가능성이 커진다. 또한, 대중교통 편리성은 자활의지와 삶의 만족도 간 관계에서 조절된 매개효과를 제공할 수 있다. 이는 대중교통의 편리성이 자활의지가 우울을 경감시키는 과정에 중요한 역할을 한다는 점을 강조하는 것이다.

본 연구는 이러한 대중교통 편리성의 조절효과와 조절된 매개효과를 실증분석하여 자활사업 참여자들의 삶의 만족도 향상에 있어 외부 환경적 요인인 대중교통 편리성이 중요한 역할을 한다는 점을 제시하고자 한다. 이를 통해 자활사업 참여자들의 자활의지를 제고하고, 대중교통 편리성의 중요성을 강조하며, 향후 자활 및 도시 계획 정책에서 실질적인 기초자료로 활용될 수 있는 함의를 도출할 수 있을 것이다.

따라서 본 연구의 목적은 다음과 같다. 첫째, 자활사업 참여자의 자활의지가 우울을 매개하여 삶의 만족도에 미치는 영향을 구조적으로 검증하는 것이다. 둘째, 자활사업 참여자의 자활의지가 삶의 만족도에 미치는 직ㆍ간접 경로에서 대중교통 편리성의 조절효과와 조절된 매개효과를 검증하는 것이다. 셋째, 이러한 분석 결과를 토대로 자활사업 참여자의 자활의지 제고 방안과 대중교통 편리성의 중요성을 강조하여 향후 자활 및 도시 계획 정책에서 실질적인 기초자료로 활용될 수 있는 함의를 도출하는 것이다.

기존 연구와의 차별성으로 본 연구는 자활의지가 삶의 만족도에 미치는 영향에서 우울의 매개효과와 대중교통 편리성의 조절된 매개효과를 동시에 검토하였다. 기존 연구들은 주로 자활사업 참여자들의 심리적 요인(이정민, 홍민희, 2022; 최별, 이성규, 2019)이나 행동 변화(노희경, 2004; 이상도, 2019)에 초점을 맞춰 자활의지와 자립 가능성을 분석하였다. 반면, 본 연구는 대중교통 편리성이라는 환경적 요인이 자활사업 참여자의 자활의지와 삶의 만족도에 미치는 영향을 직ㆍ간접적으로 분석했다는 점에서 기존 연구들과 차별성이 있다. 이는 단순히 심리적 요소만이 아닌 외부 환경적인 요인도 자활의지에 중요한 요소로 고려될 수 있음을 시사한다. 특히, 대중교통 접근성이 자활 참여자의 경제적 기회 및 사회적 네트워크 형성에 중요한 역할을 할 수 있음을 실증적으로 분석함으로써, 정책적 개선 방향을 제시하는 데 기여하고자 한다.


2. 이론적 배경

1) 자활의지와 삶의 만족도 간 관계

자활은 노동시장의 취업을 통해 최소한의 주거와 생계 문제를 해결할 수 있는 상태로(박경숙, 박능후, 2001) 고용장벽을 극복하는 과정이자 경제적인 자립을 향하여 나아가게 하는 동력인 ‘고용 희망’을 높이는 과정이다(Hong, Choi, & Key, 2018). 또한, 경제적ㆍ신체적ㆍ정서적으로 타인에게 의존하지 않고 살아가는 것을 의미하며(정무성, 1999), 경제적인 독립을 넘어 한 인간으로서 존중 받는 삶을 의미한다(최별, 이성규, 2019). 자활은 경제적ㆍ사회적ㆍ정서적 자활로 구분할 수 있는데 먼저, 경제적 자활은 스스로 취업 노력을 통한 생활 수준 향상으로 국가의 보호에서 벗어나는 것이며, 사회적 자활은 활발한 사회활동이나 대인관계를 통하여 사회에 적응하는 것이다. 마지막으로 정서적 자활은 외부 의존에서 벗어나 스스로 자립할 수 있다는 생각 및 그렇게 하고자 하는 의지를 의미하며, 자활은 전반적으로 경제적ㆍ사회적ㆍ정서적 측면에서 동시에 진행되어야 한다(박경숙, 박능후, 2001).

자활의지는 연구자들마다 다양하게 정의되고 있지만, 일반적으로 ‘소득의 부재로 인하여 생계유지에 어려움을 겪는 사람들이 생계를 보호하는 것에 만족하지 않고 근로를 통하여 스스로 자립하거나 자활하려는 동기, 그리고 열망을 포괄하는 심리적인 능력’으로 정의된다(김승의, 2006; 박장호, 2012). 즉, 외부로부터의 지원이나 도움받는 것에 중점을 두기보다 자활 참여자가 스스로 살아가고자 하는 의지라고 설명할 수 있다. 자활의지는 자활 대상자들이 스스로 생활의 변화를 추진하며, 여러 가지 사회 제도를 활용하는 의지로 정의되며(이상도, 2019), 경제적 자립을 달성하기 위한 과정적인 요소를 의미하는 ‘근로의욕’(노희경, 2004), 자활에 대한 자신감과 통제력 그리고 문제를 해결하고자 하는 자립의지(박영란, 강철희, 1999), 빈곤에서 탈피 및 자립하고자 하는 열망과 동기를 의미하는 ‘자활의욕’(강남식, 신은주, 성정현, 2002)을 포괄하기도 한다. 자활의지를 정의하기 위해서는 자활을 위해 자활사업에 참여하는 대상자가 누구인지 살펴볼 필요가 있다. 자활은 국가로부터 지원 및 보호를 받고 있는 국민이 최소한의 생계 문제 해결을 위하여 근로, 사회활동, 자립하려는 의지를 갖는 것이며, 이러한 자활의지가 발현될 수 있는 대상자로 저소득층, 노인, 장애인, 탈북민 등 사회적 취약계층이 해당한다. 즉, 국가로부터 보호 및 지원받는 국민이 경제적ㆍ사회적으로 독립하고, 스스로 생계 문제를 해결하고자 노력하는 일련의 과정이 자활의지 형성을 위한 일련의 과정인 것이다.

삶의 만족도는 주관적인 개념으로 개인의 가치지향에 따라 다양하게 나타나며, 명확히 정의하는 데 한계가 있다(이서영, 송희경, 2019). 하지만, 일반적인 개념으로 일상의 모든 활동영역에서 긍정적 정서, 행복, 만족, 즐거움을 느끼는 것을 포함한 주관적 안녕감으로 정의할 수 있다(김연주, 2018; 김종경, 2012). 삶의 만족도는 결정적인 상태가 아닌 개인의 내적 요인 및 환경적 요인에 따라 변화되므로(Fujita & Diener, 2005), 사회적 지위나 건강상태, 경제적 안정성, 가족 관계 등 여러 요인들이 삶의 만족도에 영향을 미칠 수 있으며, 사회활동과 사회적응에 따른 상호작용이 스스로 가치가 있다고 인지하고, 이에 대한 만족이 삶과 일치할 때 유지될 수 있다(Neugarten, Havighurst, & Tobin, 1961).

자활의지가 삶의 만족도에 미치는 영향은 자활의지가 갖는 심리적 특성에 기반하여 설명할 수 있다. 자활의지는 개인이 자립을 위해 적극적으로 노력하고자 하는 내적 동기와 열망으로, 이러한 의지가 높은 참여자는 구체적이고 도전적인 자활 목표를 설정하게 된다. Locke와 Latham(2015)의 목표설정이론에 따르면, 개인이 의식적으로 설정한 목표는 작업동기와 행동에 영향을 미치며, 구체적이고 난이도가 적절한 목표일수록 개인의 수행 능력과 성과를 향상시키는 경향이 있다. 또한, 이러한 목표가 효과적으로 달성되기 위해서는 피드백, 보상 조건, 직무 복잡성 등 상황적 요인들이 중요하다(Locke & Latham, 2015).

본 연구의 맥락에서 자활의지가 높은 자활사업 참여자들은 스스로 자립이라는 구체적인 목표를 설정하고, 이 목표에 도달하기 위한 실천적 행동을 수행할 가능성이 높다. 또한, 자활의지가 높은 참여자일수록 자활 목표 달성 과정에서 나타나는 상황적 피드백과 보상(예: 자활 성과 인정, 경제적 보상 등)에 민감하게 반응하고, 이는 긍정적인 행동을 강화하여 삶의 만족도를 높이는 결과로 연결될 수 있다. 즉, 자활의지가 강한 참여자들은 명확하고 구체적인 목표 설정을 통해 작업동기와 행동이 촉진되며, 이로 인해 자활 성과가 향상되고 삶의 만족도가 높아질 가능성이 크다.

이러한 맥락에서 본 연구는 자활사업 참여자의 자활의지라는 내적 동기가 목표의 특성 및 상황적 요인들과 상호작용하여, 삶의 만족도라는 성과변수에 영향을 미칠 수 있음을 제시하고자 한다.

자활의지가 삶의 만족도에 미치는 영향에 관한 국내ㆍ외 연구는 많이 수행되지 않았지만, 자활사업 참여자의 자활의지와 유사한 개념인 노인들의 일자리 참여 욕구, 발달 장애인의 취업 상태 등에 관한 연구들은 많이 수행되었음을 알 수 있다.

선행연구를 살펴보면, 김지혜와 조성희(2020)는 미혼모들의 자활의지가 삶의 만족도에 긍정적인 영향이 있음을 입증하였고, Wong and Lou(2010)는 홍콩의 복지 수급자들의 자활에 대한 의지와 욕구가 삶의 만족도에 정적(+) 영향이 있음을 입증하였다. 또한, 조영주(2023)는 자활사업참여자의 자활의지가 자활참여 만족도에 정적(+) 영향이 있음을 입증하였다. 한편, 이와 유사한 연구로 국내의 많은 연구자들은 노인의 일자리 참여가 삶의 만족도에 정적(+) 영향이 있음을 입증하였고(김연주, 2018; 박명옥, 문재우, 2019; 장신재, 조자영, 2014), 이러한 노인 일자리 사업은 노인의 삶의 질에도 정적(+) 영향이 있음을 입증하였다(박영미, 김병규, 2015). 또한, 발달 장애인의 취업은 삶의 만족도에 정적(+) 영향을 미치고(성소현, 김가람, 2021), 이들의 자활의지는 직무만족에도 정적(+) 영향이 있었다(이은영, 2022). 이에 따라 목표설정 이론 및 선행연구를 바탕으로 설정한 가설은 다음과 같다.

  • ∙가설 1. 자활의지는 삶의 만족도에 정적(+) 영향이 있을 것이다.

2) 자활의지와 우울 간 관계

우울은 인간의 보편적인 감정 중 하나로 의욕 상실로 인해 정서 상태가 장기적인 불안정상태에서 무력감이나 신체적인 질병으로 인해 활기를 잃어버리는 부정적인 심리상태이다(이인정, 2007). 우울은 정서장애로써 침울한 기분 등이 나타나는 것이 특징이며(이장범, 2012), 우울이 고착화될수록 개인의 사회생활에 심각한 문제 및 자살 등을 유발한다(안정훈, 지선미, 남미희, 추여진, 이윤희, 2010). 또한, 사회적 취약계층의 삶의 질을 저하시키는 중요 요인 중 하나로, 이들의 경제 및 사회활동, 건강에 부정적인 영향을 미치며, 특히 사회적 지위에 있어 소득이나 직업, 교육 등에서 차이가 나타나고, 이것이 심리사회적 스트레스로 작용하는 경우 빈곤계층에서 우울이 더 많이 촉발되는 경향이 있다(김윤화, 2015; Dooley & Prause, 2002; Melchior et al., 2013).

자활의지가 우울에 미치는 영향은 Deci and Ryan(2000)의 자기결정 이론으로 설명할 수 있다. 이 이론은 인간의 동기가 내재적 요인과 외부요인에 의한 통제로 구분되는데, 이러한 내재적 동기는 개인의 웰빙에 긍정적 영향이 있음을 설명하고 있다(Deci & Ryan, 2000). 따라서 자활사업 참여자의 자활의지는 참여자 스스로 자립을 목표로 설정하고, 이를 성취하기 위한 동기를 가지는 상태로 내재적 동기와 밀접하게 연관된다고 할 수 있으며, 자활의지가 강한 사람일수록 내재적 동기를 토대로 자신의 삶을 더 긍정적으로 관리하게 되어 우울증 감소에 중요한 역할을 한다고 할 수 있다.

선행연구를 살펴보면, 자활의지와 우울 간 관계는 양방향적인 효과가 있는 것으로 나타났다. 즉, 자활의지가 높은 사람일수록 우울이 낮아진다는 결과(Begun, Bender, Brown, Barman-Adhikari, & Ferguson, 2018; Epel, Bandura, & Zimbardo, 1999)가 있는 반면, 우울이 낮을수록 자활의지가 높아진다는 결과(이정민, 홍민희, 2022; 최별, 이성규, 2019)도 보고되고 있다. 이에 따라 자활의지와 우울 간 관계는 상호 영향을 미치는 양방향적인 관계로 이해될 수 있다.

그럼에도 불구하고 본 연구가 자활의지를 우울에 선행하는 원인변수로 설정한 이유는 다음과 같다. 첫째, 본 연구의 목적이 자활사업 참여자의 자립을 촉진하는 심리적이고 환경적인 요소를 밝히고자 하는 것인 만큼 자활의지를 개인의 자립 목표를 위한 주요 내적 동기로 규정하고 접근하는 것이 더 적합하다고 판단하였다. 즉, 자활의지를 개인의 심리적 동기로 우울을 그 동기의 결과로 나타나는 심리적ㆍ정서적 상태로 보는 것이 연구의 실천적ㆍ정책적 함의를 도출하는 데 적합하다고 보았다. 둘째, Deci와 Ryan(2000)의 자기결정이론(Self-determination Theory)에 따르면 개인의 내적 동기와 자율적 의지가 강할수록 심리적 웰빙이 높아지고 부정적 정서(예: 우울)가 감소한다고 주장하고 있다. 즉, 자기결정이론의 이론적 논리 구조에 따라 개인의 자활의지가 우울과 같은 부정적 정서에 영향을 미친다는 이론적 방향성이 더욱 명확하다고 할 수 있다.

따라서 본 연구는 자활사업 참여자들이 자립 목표를 달성하는 데 있어 자활의지가 우울이라는 심리적 장애를 완화시키는 선행요인이 될 수 있다고 가정하였다. 이에 따라 자기결정 이론 및 선행연구를 바탕으로 설정한 가설은 다음과 같다.

  • ∙가설 2. 자활사업 참여자의 자활의지는 우울에 부적(-) 영향이 있을 것이다.

3) 우울과 삶의 만족도 간 관계

사회적 취약계층인 자활사업 참여자들의 삶의 만족도에 영향을 미치는 다양한 요인 중 우울은 가장 대표적으로 나타나는 정신건강 문제 중 하나이다. 우울은 슬픈 감정 상태로 우울 증후군으로 지칭되기도 하며(박금자, 1999), 자살행동과 밀접한 관련이 있는 심리장애이자 죽음에 이르는 병으로 불리기도 한다(전영주, 2001). 따라서 이러한 우울감이 지속되면 자기 비하로 인해 자신에 대한 가치감 저하뿐만 아니라 일상생활에서도 어려움을 초래한다(김자영, 2019).

특히, 노인의 경우 성별, 빈곤 및 1인 가구 여부 등과 관련 없이 우울은 일관적으로 노인의 삶에 부정적인 영향을 미치는데(김재경, 박재학, 2020; 박미진, 2012), 그 이유는 연로해질수록 근로 및 사회활동이 축소되고, 배우자 상실과 건강 악화 등을 경험하면서 심리적인 위축과 높은 우울감을 느껴 삶의 만족도가 저하되기 때문이다(이준상, 김향아, 2017). 장애인들도 신체기능의 상실, 인지력 저하, 그리고 정서적인 혼란과 존재감에 대한 무가치로 인해 우울감이 증가하는데, 장애인들의 이러한 내외적인 요인들 또한 그들의 삶의 만족도에 직ㆍ간접적인 영향을 미치고 있는 것으로 나타났다(노성향, 2022; 이상준, 안수영, 2011),

자활사업 참여자들의 우울이 삶의 만족도에 미치는 영향은 인지평가 이론으로 설명할 수 있다. 이 이론은 감정이 단순한 반응이 아니며, 인간이 환경에 적응하기 위한 동적 과정임을 강조한다. 따라서 감정은 자신의 상황에 대한 평가를 통해 발생하고, 그 결과에 따른 적절한 행동을 선택하게 된다(Smith & Lazarus, 1990). 즉, 자활사업 참여자들의 우울은 그들이 자신의 상황을 부정적으로 평가하거나, 그들이 가진 자원과 지원을 적절히 사용하지 못할 때 발생할 수 있으며, 이는 삶의 만족도를 낮추는 요인으로 작용할 수 있다.

선행연구를 살펴보면, 노인과 장애인과 같은 사회적 취약계층의 우울이 삶의 만족도에 직접적인 영향이 있음을 알 수 있다. 먼저, 김병년과 김상용(2022)은 2018년 고령화연구패널조사 전국 중고령 노인 6,940명의 자료를 통해 우울이 삶의 만족도에 부적(-) 영향이 있음을 입증하였고, 최순례와 이홍직(2022)도 2018년 고령화연구패널조사 3,570명의 자료를 통해 우울이 삶의 만족도에 부적(-) 영향이 있음을 입증하였다. 김재경과 박재학(2020)은 2017년 한국복지패널 전국 노인 4,656명의 자료를 통해 우울이 삶의 만족도에 부적(-) 영향이 있음을 입증하였고, 김자영(2019)도 2017년 한국복지패널 전국 고령 장애인 905명의 자료를 통해 우울이 삶의 만족도에 부적(-) 영향이 있음을 입증하였다. 또한, 장소영(2011)은 농촌지역 노인, 박경은, 권미형, 권영은(2013)은 여성노인, 배숙경, 엄태영, 이은진(2012)은 독거노인을 대상으로 우울이 삶의 만족도에 부적(-) 영향이 있음을 입증하였다. 이에 따라 인지평가 이론 및 선행연구를 바탕으로 설정한 가설은 다음과 같다.

  • ∙가설 3. 우울은 삶의 만족도에 부적(-) 영향이 있을 것이다.

Deci와 Ryan(2000)의 자기결정이론으로 설명할 수 있다. 자활의지는 자활사업 참여자들이 자립이라는 목표를 달성하기 위해 스스로의 삶을 능동적으로 통제하려는 내적 동기와 관련된다. 이러한 자율적인 동기가 높을수록 자신이 처한 환경을 더 긍정적이고 통제 가능한 것으로 인식하게 되고, 이는 결과적으로 우울과 같은 부정적인 정서 상태를 완화하는 데 기여한다.

반면, 자활의지가 낮은 사람은 자립 목표에 대한 동기와 자신감을 유지하기 어려워 무력감이나 우울과 같은 부정적인 정서를 더 자주 경험할 가능성이 높으며, 이는 궁극적으로 삶의 만족도를 감소시키는 결과를 초래한다. 따라서 자활사업 참여자의 삶의 만족도를 증진시키기 위해서는 자활의지를 높이는 내적 동기 강화 프로그램이나 환경적 지원 체계를 마련함으로써 우울감을 낮추는 접근이 필요하다.

선행연구를 살펴보면, 최순례와 이홍직(2022)은 2018년 고령화연구패널조사 3,570명의 자료를 통해 중고령 여성의 주관적 건강과 삶의 만족도 간 관계에서 우울의 부분 매개효과를 입증하였고, 송인욱과 원서진(2020)도 2016년 고령화연구패널조사 10,254명의 자료를 통해 베이비부머의 주관적 건강상태와 삶의 만족도 간 관계에서 우울은 부분 매개효과가 있음을 입증하였다. 사회인지 이론 및 선행연구를 바탕으로 설정한 가설은 다음과 같다.

  • ∙가설 4. 자활의지는 우울을 통해 삶의 만족도에 정적(+) 영향을 간접적으로 미칠 것이다.

4) 대중교통 편리성의 조절효과

교통은 인간의 삶의 질에 중요한 부분을 차지하며, 교통수단의 편의성과 이동성은 삶의 질을 향상시키는데 중요한 역할을 한다(Spinney, Scott, & Newbold, 2009). 특히, 대중교통은 교통수단이나 시설을 이용하여 시민들에게 정해진 시간계획과 노선을 따라 교통서비스를 제공하고 있어, 대중교통이 편리할수록 이용객의 통행 거리를 증가시키는 데 기여한다. 교통수단은 단순히 이동수단을 넘어 경제ㆍ여가ㆍ야외 활동 등 삶의 질에 영향을 미치므로 교통 만족도 제고 및 이동 스트레스 감소는 교통정책의 목표이자 매우 중요한 요소라고 할 수 있다(Friman, Garling, Ettema, & Olsson, 2017). 대중교통 만족도에 관한 연구를 살펴보면, 대중교통 이용객의 만족도는 대중교통 수단과 대중교통 시설의 혼잡도, 이동 및 대기시간, 신뢰성 등이 만족도에 영향을 주는 것으로 확인되었는데(Cantwell, Caulfield, & O’Mahony, 2009), 이는 지역사회에서 교통수단과 교통시설 등과 같은 물리적 환경조건이 인간의 삶의 질과 이동성에 영향이 있음을 예측할 수 있다. 이에 따라 본 연구에서는 앞서 언급한 내용들을 바탕으로 대중교통 편리성을 “교통수단과 교통시설이 이용객에게 제공하는 시ㆍ공간적 접근성과 이동의 효율성을 포괄하는 개념”으로 정의하였다.

대중교통이 인간의 삶의 질과 만족도에 미치는 것은 국내뿐만 아니라 외국에서도 흔히 나타나는 현상이라 할 수 있다. Balbontin, Hensher, and Beck(2023)는 호주 시민들이 대중교통을 선호할수록 삶의 만족도가 높은 것을 입증하였고, Rossi, Mariotti, and Pantelaki(2023)는 대중교통이 노인들의 주관적 웰빙과 지역사회 만족도를 강화하는 중요 요소로, 특히 대중교통의 편리성과 품질은 노인들에게 긍정적인 영향을 줄 수 있으므로 교통 인프라의 품질 개선의 필요성을 제시하기도 하였다. 또한, Mattson 등(2021)은 교통 접근성이 미국의 지역사회와 개인의 삶의 만족도에 미치는 영향을 분석한 결과, 역세권 지역이 비역세권 지역 보다 삶의 만족도에 더 큰 영향이 있음을 밝혀냄으로써(Mattson et al., 2021) 교통의 편리성, 접근성, 품질 등은 삶의 만족도에 긍정적인 영향이 있음을 확인할 수 있었다.

대중교통 편리성에 관한 조절효과는 심리적 거리 이론과 사회인지 이론을 통해 설명할 수 있다. Trope and Liberman(2010)의 심리적 거리 이론은 인간의 생각, 감정, 행동이 사건이나 객체와의 심리적 거리를 어떻게 인식하는지에 따라 달라진다는 이론으로, 심리적 거리는 시간적ㆍ공간적 거리를 포함하는 개념이다. 따라서 대중교통이 편리한 경우 자활사업 참여자들은 사회적 자원과 기회에 접근하기 용이해지고, 이를 통해 자활 목표를 더 구체적이고 실현 가능한 형태로 인식하게 된다. 즉, 교통이 편리할 때 자활의 과정이 가까운 거리의 일처럼 느껴지므로 자활의지를 강화시켜 더 큰 삶의 만족도로 이어질 수 있다. 반면, 대중교통이 불편할 경우 자활 과정에 접근하기 어려워져 심리적 거리가 멀어지며, 이는 자활 목표가 추상적으로 느껴질 수 있다. 즉, 자원에 대한 접근성이 떨어지면 좌절감을 느끼고, 이는 우울감으로 이어져 삶의 만족도를 낮출 수 있다는 것이다.

본 연구에서 가정하는 자활의지가 우울을 매개하여 삶의 만족도에 미치는 영향에서 대중교통 편리성은 그 수준에 따라 인과관계의 강도는 달라질 수 있다. 자활의지가 우울을 완화시키고, 이를 통해 삶의 만족도를 높이는 과정은 환경적 요인인 대중교통 편리성에 의해 그 영향력이 강화되거나 약화될 수 있기 때문이다. 예를 들어, 대중교통이 편리한 환경에서는 자활사업 참여자의 높은 자활의지가 더 적극적인 사회참여와 경제활동으로 쉽게 이어져 우울이 감소하고 삶의 만족도가 증가할 가능성이 높은 반면, 대중교통이 불편한 환경은 이러한 효과가 약화되어 자활의지가 있어도 우울이 쉽게 감소되지 않아 삶의 만족도가 저하될 수 있다. 이러한 현상은 결국 대중교통 편리성이 자활의지의 효과가 우울을 매개로 삶의 만족도로 전달되는 과정을 조절하는 조절된 매개효과로 설명할 수 있다.

한편, 대중교통 편리성은 우울과 삶의 만족도 사이에서도 단순 조절역할을 수행할 수 있다. 우울 수준이 동일하게 높은 자활사업 참여자라 할지라도 대중교통이 편리한 환경에 있는 사람은 경제적 기회와 사회적 교류 기회를 쉽게 확보할 수 있어 우울로 인한 부정적 영향을 완화시킬 가능성이 크다. 하지만 대중교통 편리성이 낮으면 우울로 인한 부정적 영향이 더욱 심화되어 삶의 만족도를 현저히 떨어뜨릴 수 있다. 이처럼 우울이 삶의 만족도에 미치는 영향력이 대중교통 편리성 수준에 따라 달라지는 단순 조절효과도 존재할 것으로 예측할 수 있다.

이러한 논의를 종합하면, 대중교통 편리성은 자활의지가 우울을 매개하여 삶의 만족도에 미치는 간접적 경로뿐 아니라, 우울이 삶의 만족도에 미치는 직접적 경로에서도 조절효과를 수행할 것으로 예측된다. 따라서 본 연구의 핵심인 대중교통 편리성의 조절된 매개효과를 명확히 규명하여, 이론적으로뿐만 아니라 실무적, 정책적으로도 유의미한 함의를 제시할 수 있을 것으로 기대한다.

선행연구를 살펴보면, 유동균과 정현(2022)은 건강과 교육 영역의 생활권 내 환경이 삶의 만족도에 미치는 영향에서 대중교통 접근성의 조절효과를 입증하였고, 문경주(2019)는 부산광역시에 거주하는 50세 이상의 중고령층을 대상으로 대중교통 편리성이 삶의 만족도에 직ㆍ간접적인 효과가 있음을 입증하였다. 김은경(2023)은 2020년 노인실태조사 9,677명의 자료를 통해 노인의 대중교통에 대한 만족도가 삶의 만족도에 정적(+) 영향이 있음을 입증하였으며, 이유진과 김의준(2015)은 농촌의 대중교통 접근성이 농촌 노인의 주관적 건강상태에 정적(+) 영향이 있음을 입증하였다. 이에 따라 심리적 거리 이론과 사회인지 이론, 그리고 선행연구를 바탕으로 설정한 가설은 다음과 같다.

  • ∙가설 5. 자활의지가 삶의 만족도에 미치는 긍정적인(+) 영향은 대중교통 편리성 수준이 높을수록 더 강화될 것이다. 즉, 자활의지가 높더라도 대중교통 편리성이 낮으면 삶의 만족도에 미치는 긍정적 영향이 약화되고, 대중교통 편리성이 높으면 삶의 만족도에 미치는 긍정적 영향이 더욱 강화될 것이다.
  • ∙가설 6. 자활의지가 우울을 매개하여 삶의 만족도에 미치는 정적인(+) 간접효과는 대중교통 편리성이 높을수록 더욱 강하게 나타날 것이다. 구체적으로, 자활의지가 높을수록 우울이 감소하고, 이를 통해 삶의 만족도가 증가하는 간접효과가 대중교통 편리성이 높은 집단에서 더 강하게 나타나고, 반대로 대중교통 편리성이 낮은 집단에서는 이러한 간접효과가 상대적으로 약하게 나타날 것이다.

3. 연구방법

1) 연구모형

본 연구의 표본은 한국자활복지개발원에서 수행한 “2023년 자활사업 참여자 실태조사” 참여자 5,663명의 자료를 활용하였다. 조사 대상은 자활근로사업 참여자이며, 설문은 구조화된 설문지를 이용하여 온라인 비대면 조사로 진행되었다. 표본 설계는 지역자활센터, 자활근로사업 참여 기간, 자활역량평가점수에 따라 비례배분 하였다. 독립변수는 자활의지, 매개변수는 우울, 종속변수는 삶의 만족도, 조절변수는 대중교통 편리성이며, 통제변수는 성별, 학력, 자활참여 기간이다.

<그림 1>

연구모형

2) 표본 특성

표본 특성은 <표 1>과 같다.

표본 특성

표본 특성으로 먼저, 성별은 여성 3,181명(56.0%), 남성 2,502명(44.0%)으로 여성의 비율이 더 높고, 거주지는 서울특별시가 1,224명(21.5%)으로 가장 높은 비율을 차지하고, 세종특별자치시가 19명(0.3%)으로 가장 낮은 비율을 차지하고 있다. 학력은 고등학교 졸업이 2,916명(51.3%)으로 가장 높은 비율을 차지하고 있고, 무학이 97명(1.7%)으로 가장 낮은 비율을 차지하며, 무응답도 609명(10.7%) 이었다. 자활사업 참여 기간으로 1년 이상~3년 이하가 2,136명(37.6%)으로 가장 높은 비율을 차지하고 있으며, 3년 초과가 1,763명(31.0%)으로 가장 낮은 비율을 차지하고 있다.

3) 분석 방법

본 연구는 자활의지, 우울, 대중교통 편리성 및 삶의 만족도 간 구조적 관계와 매개효과 및 조절된 매개효과를 검증하기 위해 SPSS 21.0과 PROCESS Macro 15번 모델을 활용하여 분석하였다. 먼저, 변수 간 신뢰도 및 타당성 검증을 위해 기초통계분석과 신뢰도 분석, 탐색적 요인분석(EFA), 상관관계 분석, 확인적 요인분석(CFA)을 실시하였다.

다음으로 매개효과 검증은 Baron and Kenny(1986)의 3단계 매개효과 검증방식 및 PROCESS Macro의 간접효과 부트스트래핑(5,000회, 95% 신뢰구간) 방법을 사용하였다. 이후 대중교통 편리성의 조절효과 및 조절된 매개효과 검증을 위하여 PROCESS Macro 15번 모델을 활용하여 분석하였다. 이를 통해 대중교통 편리성 수준에 따라 자활의지가 우울을 매개하여 삶의 만족도로 이어지는 매개효과의 강도가 달라지는지 조절된 매개효과(MOD MED)를 검증하였다. 마지막으로 조절효과 및 조절된 매개효과의 유의성을 시각적으로 확인하고 결과의 명확한 해석을 돕기 위해 조건부 효과의 단순 기울기 분석 및 그래프를 제시하였다.

4) 측정 도구

본 연구는 “2023년 자활사업 참여자 실태조사” 설문을 활용하였으며, 설문 내용은 <표 2>와 같다.

측정 도구

자활의지는 총 4문항이며, 5점 척도(1점: 전혀 그렇지 않다 ~ 5점: 매우 그렇다)를 활용하였다. 삶의 만족도는 총 7문항이며 5점 척도(1점: 전혀 만족하지 않음 ~ 5점: 매우 만족함)를 활용하였다. 우울은 총 8문항이며 4점 척도(0점: 없음 ~ 3점: 거의 매일)를 활용하였다. 대중교통 편리성은 단일 문항이며 5점 척도(1점: 전혀 그렇지 않다 ~ 5점: 매우 그렇다)를 활용하였다.


4. 연구결과

1) 타당도ㆍ신뢰도

자활의지, 삶의 만족도, 우울의 타당도 검증을 위하여 SPSS를 활용하여 탐색적 요인분석을 실시한 결과 변수별 요인적재량 수치가 .59 이상으로 나타났다. 요인적재량 수치는 .5 이상일 경우 해당 변수가 요인에 의해 설명되는 정도가 강하다고 할 수 있으며(Costello & Osborne, 2005) 이에 따라 타당성이 확보되었다. 변수들의 문항에 대한 신뢰도 검증 결과 .836 이상이며, 세부내용은 <표 3>과 같다.

타당도ㆍ신뢰도 검증

2) 기술통계 및 상관관계

기술통계 및 상관관계 분석 결과는 <표 4>와 같다. 자활의지는 삶의 만족도(r=.384, p<.01), 우울(r=-.383, p<.01), 대중교통 편리성(r=.174, p<.01)과 유의미한 관계가 있었다. 삶의 만족도는 우울(r=-.548, p<.01), 대중교통 편리성(r=.273, p<.01)과 유의미한 관계가 있었고, 우울은 대중교통 편리성(r=-.174, p<.01)과 유의미한 관계가 있었다.

기술통계 및 상관관계

3) 확인적 요인분석

자활사업 참여자의 자활의지, 삶의 만족도, 우울, 대중교통 편리성에 대한 확인적 요인분석을 실시한 결과 4요인이 RMR .039, RMSEA .067, GFI .921, NFI .914, RFI .901 IFI .917, TLI .905로 가장 양호하였으며, 각 요인별 분석 결과는 <표 5>, <그림 2>와 같다.

확인적 요인분석 모형적합도

<그림 2>

확인적 요인분석 모형적합도

4) 가설 검증

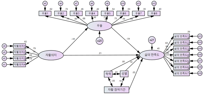
본 연구의 가설 검증은 다음과 같이 수행되었다. 가설 1~4는 AMOS 경로분석을 통해 검증되었으며, 경로분석 모형 적합도 결과는 <표 6>, <그림 3>과 같다. 분석 결과 대부분의 지수들이 기준치를 충족하고 있어 모형이 적합하였다.

경로분석 모형적합도

<그림 3>

경로분석

가설 1 ~ 4의 검증은 AMOS 경로분석을 활용하여 총 효과, 직접 및 간접효과를 분석하였고, 결과는 <그림 3>, <표 7>과 같다.

경로분석 결과

가설 1은 자활사업 참여자의 자활의지가 삶의 만족도에 미치는 영향으로, 분석 결과 직접효과(B=.214, p<.001)가 유의미하여 가설이 지지되었다. 가설 2는 자활사업 참여자의 자활의지가 우울에 미치는 영향으로, 분석 결과 직접효과(B=-.444, p<.001)가 유의미하여 가설이 지지되었다. 가설 3은 자활사업 참여자의 우울이 삶의 만족도에 미치는 영향으로, 분석 결과 직접효과(B=-.541, p<.001)가 유의미하여 가설이 지지되었다. 가설 4는 자활사업 참여자의 자활의지가 삶의 만족도에 미치는 영향에서 우울의 매개효과를 검증하였으며, 분석 결과 총 효과(B=.454, p<.001), 직접효과(B=.214, p<.001), 간접효과(B=.240, p<.001), 모두 유의미하여 부분 매개효과가 있는 것으로 나타나 가설이 지지되었다.

가설 5와 6은 Hayes(2018)의 Process Macro 4.2의 15번 모델을 활용하여 대중교통 편리성의 조절효과 및 조절된 매개효과를 분석하였다. 분석 결과는 <표 8>, <표 9>, <그림 4>, <그림 5>와 같다. 분석을 위한 신뢰수준은 95%, 부트스트랩 샘플 5,000, 조건부 효과 확인 위한 조건으로 M과 M±SD로 설정하였다. 독립변수와 조절변수는 평균 중심화하여 분석하였으며, 통제변수는 성별, 학력, 자활 참여기간으로 설정하였다.

조절 및 조절된 매개모형에서 대중교통 편리성의 조절효과 분석

대중교통 편리성의 조건부 간접효과 분석

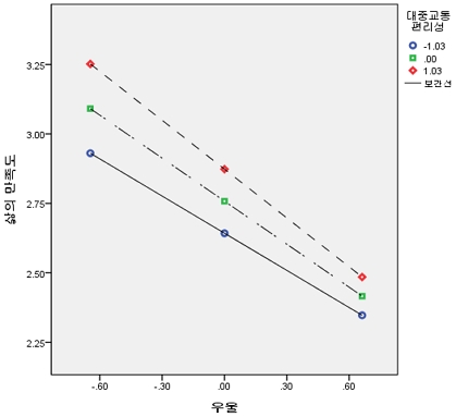
<그림 4>

자활의지와 삶의 만족도 간 관계

<그림 5>

우울과 삶의 만족도 간 관계

먼저, 대중교통 편리성이 자활의지와 삶의 만족도 간 관계를 조절하는지와 우울과 삶의 만족도 간 관계를 조절하는지 분석하였다. 매개변수 모형에서 자활의지는 우울에 부적(-) 유의미한 영향을 미쳤다(B=-.308, p<.001). 종속변수 모형에서 자활의지는 삶의 만족도에 정적(+) 유의미한 영향을 미쳤고(B=.160, p<.001), 조절변수인 대중교통 편리성은 삶의 만족도에 정적(+) 유의미한 영향을 미쳤다(B=.112, p<.001). 그리고 자활의지와 대중교통 편리성의 상호작용 항은 삶의 만족도에 정적(+) 영향을 미쳤고(B=.023, p<.05), 상호작용에 따른 R2의 증가량(△R2=.001, p<.05)도 유의미하여 대중교통 편리성은 자활의지와 삶의 만족도 간 관계를 조절하였다. 조절변수인 대중교통 편리성에 따른 자활의지가 삶의 만족도에 미치는 조건부 효과를 보면 대중교통 편리성의 3가지 조건(M, M±SD) 모두 유의미한 효과가 있었다.

다음으로 대중교통 편리성이 우울과 삶의 만족도 간 관계를 조절하는지 분석한 결과, 우울과 대중교통 편리성의 상호작용 항은 삶의 만족도에 부적인 유의미한 영향을 미쳤고(B=-.068, p<.001), 상호작용에 따른 R2의 증가량(△R2=.004, p<.001)도 유의미하여 대중교통 편리성은 우울과 삶의 만족도 간 관계를 조절하였다. 조절변수인 대중교통 편리성에 따른 우울이 삶의 만족도에 미치는 조건부 효과를 보면 대중교통 편리성의 3가지 조건(M, M±SD) 모두 유의미한 효과가 있었다.

자활사업 참여자의 자활의지가 삶의 만족도에 미치는 영향에서 대중교통 편리성의 조절효과를 그래프로 나타내면 <그림 4>와 같다.

대중교통 편리성의 3가지 조건(M, M±SD) 모두 자활의지가 증가할수록 삶의 만족도가 증가하였다. 또한, 자활의지의 수준에 상관없이 대중교통 편리성은 M+SD가, M-SD보다 삶의 만족도가 상대적으로 더 높다고 할 수 있으며, 이에 따라 가설 5는 지지되었다.

자활사업 참여자의 우울이 삶의 만족도에 미치는 영향에서 대중교통 편리성의 조절효과를 그래프로 나타내면 <그림 5>와 같다.

대중교통 편리성의 3가지 조건(M, M±SD) 모두 우울이 증가할수록 삶의 만족도는 감소하였다. 또한, 우울의 수준과 상관없이 대중교통 편리성은 M+SD가 M-SD보다 삶의 만족도가 상대적으로 더 높다고 할 수 있다.

우울이 삶의 만족도에 미치는 경로에서 직접효과와 조건부 간접효과를 분석한 결과는 <표 9>와 같으며, 조절된 매개 지수 분석 결과 BootLLCI와 BootULCI 사이에 0이 존재하지 않아 유의미한 것으로 나타났으며, 이에 따라 가설 6은 지지되었다.


5. 결 론

1) 연구결과 요약

본 연구는 전국의 자활사업 참여자 5,683명을 대상으로 자활의지가 우울을 매개하여 삶의 만족도에 미치는 영향에서 대중교통 편리성의 조절효과 및 조절된 매개효과를 검증하는 것이며, 연구결과는 다음과 같다.

첫째, 자활사업 참여자의 자활의지는 삶의 만족도에 정적(+) 영향이 있었다. 즉, 자활사업 참여자의 자활의지가 높을수록 삶의 만족도 또한 긍정적인 영향이 있음을 설명할 수 있는데, 이러한 결과는 김지혜와 조성희(2020), Wong and Lou(2010)의 연구결과와 일치하며, 이를 통해 자활의지가 삶의 만족도에 긍정적인 영향이 있음을 재입증한 결과라 할 수 있다.

둘째, 자활사업 참여자의 자활의지는 우울에 부적(-) 영향이 있었다. 즉, 자활사업 참여자의 자활의지가 높을수록 자활사업 참여자의 우울을 완화하는 것을 설명할 수 있는데, 이러한 결과는 Epel, Bandura, and Zimbardo(1999)의 연구결과와 일치하며, 이를 통해 자활의지가 우울을 완화시킬 수 있음을 재입증한 결과라 할 수 있다.

셋째, 자활사업 참여자의 우울은 삶의 만족도에 부적(-) 영향이 있었다. 즉, 우울이 높을수록 삶의 만족도는 낮아질 수 있음을 설명하는데, 이러한 결과는 김병년과 김상용(2022), 최순례와 이홍직(2022), 김재경과 박재학(2020)의 연구결과와 일치하며, 이를 통해 자활사업 참여자의 우울은 삶의 만족도에 부정적인 영향이 있음을 재입증한 결과라 할 수 있다.

넷째, 자활사업 참여자의 자활의지와 삶의 만족도 간 관계에서 우울은 부분 매개효과가 있었다. 즉, 자활의지가 삶의 만족도에 직접적으로 영향을 주는 동시에 우울을 통해 간접적인 영향도 주었는데, 이는 자활의지가 삶의 만족도에 미치는 효과가 우울을 통해 강화될 수 있음을 설명할 수 있다. 우울은 자활의지가 삶의 만족도에 미치는 영향을 방해할 수 있는 요인으로 작용할 수 있지만, 자활의지는 우울을 줄여주는 완화적 역할을 하므로, 자활의지가 삶의 만족도에 미치는 효과는 우울을 감소시키는 간접 경로를 통해 더 강해지고, 이로 인해 삶의 만족도가 높아질 수 있다고 해석할 수 있다.

다섯째, 자활의지와 삶의 만족도에 미치는 직ㆍ간접적인 경로에서 대중교통 편리성은 조절효과 및 조절된 매개효과가 있었다. 자활의지와 대중교통 편리성의 상호작용항이 유의미한 것으로 나타났는데, 이는 대중교통 편리성이 높을수록 자활의지가 삶의 만족도에 더 강하고 긍정적인 영향이 있음을 설명할 수 있다. 즉, 대중교통이 편리할수록 자활의지가 삶의 만족도로 이어지는 효과가 더욱 강화되는 것을 알 수 있었다. 또한, 대중교통 편리성은 자활의지가 우울을 완화하고 삶의 만족도를 높이는 간접 경로에서도 조절된 매개효과가 있음을 확인할 수 있었다. 즉, 자활의지는 우울을 부적(-)으로, 삶의 만족도는 정적(+)으로 유의미하게 나타났고, 이는 대중교통 편리성이 높을수록 이 경로의 효과가 강화되었음을 설명할 수 있다. 조절된 매개효과 분석 결과에 따르면, 자활의지가 우울을 매개로 삶의 만족도에 미치는 간접효과의 크기는 대중교통 편리성의 수준에 따라 달라지는 것으로 나타났다. 구체적으로, 대중교통 편리성의 수준이 높을수록 자활의지가 우울을 통해 삶의 만족도에 미치는 긍정적인 간접효과가 더욱 증가하였다. 즉, 대중교통 편리성이 높은 환경에서는 자활의지가 높은 참여자일수록 우울이 더욱 낮아지며, 이는 삶의 만족도 향상으로 더욱 강하게 이어진다는 것을 의미한다. 반대로 대중교통 편리성이 낮은 환경에서는 자활의지가 우울을 통해 삶의 만족도에 미치는 간접효과가 상대적으로 약화되는 것으로 나타났다. 따라서, 자활의지가 우울을 매개로 하여 삶의 만족도에 미치는 긍정적 간접효과는 대중교통 편리성이라는 환경적 조건이 충족될 때 그 효과가 극대화될 수 있음을 확인하였다.

2) 연구의 시사점

본 연구의 시사점은 다음과 같다.

첫째, 자활사업 참여자의 자활의지, 우울, 삶의 만족도 간 관계를 구조적으로 입증하였고, 이러한 관계에서 대중교통 편리성의 조절효과와 조절된 매개효과를 검증함으로써 이론적 확장에 기여하였다. 기존 연구들은 대중교통 편리성을 삶의 만족도에 영향을 미치는 선행변수로 활용하거나, 대중교통 접근성을 조절효과로 활용하였지만, 본 연구는 대중교통 편리성이 자활의지와 삶의 만족도에 미치는 직ㆍ간접적인 관계에서 조절효과를 분석하였다. 이를 통해 자활사업 참여자의 삶의 만족도에 있어 대중교통 편리성의 긍정적인 효과를 입증하였고, 기존 연구들과 차별화 했다는 것에 그 의의가 있다.

둘째, 자활의지가 우울과 삶의 만족도의 선행변수로서 중요한 역할을 한다는 것을 입증하였다. 이에 따라 정부는 자활사업 참여자들의 자활의지 향상을 위한 심리적 지원 프로그램과 같은 제도를 마련하여 자활의지를 증진시키는 실질적인 전략을 마련할 수 있다. 이러한 노력은 자활사업 참여자들의 심리적 안정과 자신감을 고취시켜 자활 목표를 지속적으로 추구하게 함으로써 자활 성공률을 향상시킬 수 있을 것이며, 이는 참여자들의 우울감을 완화시키고 삶의 만족도 증진에도 기여할 것이다.

이와 더불어, 자활사업 참여자들의 우울감 감소를 위한 구체적인 방안도 필수적이다. 예를 들어, 자활사업 참여자의 정신건강을 지속적으로 관리할 수 있도록 정기적인 정신건강 진단 프로그램과 전문적 상담서비스를 필수적으로 도입할 필요가 있다. 이는 참여자들의 우울감을 조기에 발견하여 정신건강 문제를 예방하고 관리하는 데 매우 효과적일 수 있다. 또한, 자활사업 참여자의 우울감을 완화시키기 위해 스트레스 관리 프로그램 및 정서적 지지를 위한 집단상담, 심리교육, 여가활동 프로그램 등을 상시 운영하여, 참여자들이 자활과정 중 심리적 안정을 유지할 수 있도록 적극적이고 통합적인 심리지원 체계 구축도 가능할 것이다. 결론적으로, 자활사업 참여자들의 정신건강 관리와 심리적 지원체계를 체계적으로 강화하는 노력은 자활의지 향상과 더불어 우울감을 감소시켜 삶의 만족도를 높이는 데 효과적일 것이다.

셋째, 대중교통 편리성이 자활사업 참여자들의 자활의지와 삶의 만족도 간 관계를 중요하게 조절하는 만큼, 대중교통 편리성 제고를 위한 실질적인 정책 설계 및 지원이 필요하다. 지역에 따라 교통 인프라의 편차가 크기 때문에, 대중교통이 부족한 지역에서는 자활사업 상담 과정에서 교통 취약 지역 참여자들을 대상으로 접근성이 높은 사업장과의 연계를 우선적으로 추진할 필요가 있다. 또한, 별도의 예산 증가 없이 시행 가능한 방안으로서 지역사회 내 민간기업이나 공공기관과의 협력을 통해 유휴 차량을 활용하거나, 지역사회 복지시설 및 기관과 차량 공유 협약을 체결하여 자활사업 참여자들이 보다 손쉽게 이동 수단을 확보할 수 있도록 지원하는 방법이 고려될 수 있다. 이와 더불어, 자활사업 참여자 간의 자발적이고 행정적으로 지원되는 카풀제도 도입을 통해 참여자들의 이동 비용을 절감하고 교통 접근성을 현실적으로 개선하는 방안도 실천적인 대안이 될 수 있다. 또한 교통 약자 및 소외 지역에 거주하는 자활사업 참여자들을 대상으로, 스마트폰 앱과 문자 안내를 활용한 대중교통 이용 정보와 할인요금 안내 서비스를 제공하여 시간과 비용을 효율적으로 관리할 수 있도록 지원할 필요가 있다. 지방 정부와의 협력을 통해, 신규 인프라 건설과 같은 예산 소요가 큰 사업보다는 기존의 교통 시스템을 보다 효율적으로 활용하는 방안을 마련함으로써 현실적으로 실현 가능한 범위 내에서 자활사업 참여자들의 이동성과 생활 편의를 증진할 수 있을 것이다.

3) 연구 한계 및 향후 연구방향

연구의 한계는 다음과 같다.

첫째, 연구에서 활용된 자료는 횡단적 자료이므로 자활의지가 우울과 삶의 만족도에 영향을 미치는 인과관계를 명확하게 규명하기 어렵다. 즉, 자활의지가 삶의 만족도를 높이는 것인지, 아니면 삶의 만족도가 높은 사람들이 자활의지가 높은 것인지를 확정하기 어렵다. 따라서 향후 연구에서는 종단적 자료를 활용하여 시간 흐름에 따른 변수 간 관계 변화를 분석함으로써 인과관계를 보다 명확히 할 필요가 있다.

둘째, 대중교통 편리성이 자활의지와 삶의 만족도 간 관계에서 조절변수로 작용하는 것으로 가정하였으나, 본 연구에서는 대중교통 편리성의 효과가 지역별로 상이할 가능성을 충분히 고려하지 못하였다. 도시와 농촌 간 대중교통 인프라의 차이가 크기 때문에, 대중교통 편리성이 자활의지에 미치는 영향은 지역에 따라 다르게 나타날 수 있다. 따라서 향후 연구에서는 도시 지역과 농촌 지역을 구분하여 대중교통 편리성이 자활의지와 삶의 만족도에 미치는 영향을 보다 정밀하게 분석할 필요가 있다.

셋째, 본 연구에서 사용된 대중교통 편리성 변수는 단일 문항으로 측정되었으며, 이는 변수의 타당도와 신뢰도에 한계를 초래할 수 있다. 즉, 대중교통 편리성을 단순히 주관적 평가로 측정하는 것은 해당 변수의 다차원적 속성(예: 이동 시간, 접근성, 교통비 부담 등)을 충분히 반영하지 못하는 한계가 있다. 따라서 향후 연구에서는 보다 정교한 측정 도구를 활용하여 대중교통 편리성을 보다 세분화된 차원에서 평가하고, 다양한 측정 지표(예: 실제 교통 이용 패턴, 이동 거리, 교통비 등)를 포함한 연구가 필요할 것이다.

넷째, 본 연구는 자기보고식 설문을 기반으로 데이터를 수집하여 응답자의 주관적 편향이 존재할 가능성이 있다. 이는 자활의지나 삶의 만족도를 과대 혹은 과소 평가할 위험이 있으며, 우울 수준 또한 실제보다 낮게 보고될 가능성이 있다. 따라서 향후 연구는 자활사업 참여자의 실제 대중교통 이용 빈도, 이동 거리 등 객관적 데이터를 포함하여 연구 신뢰성을 높이는 방향으로 보완할 필요가 있다.

이러한 연구 한계를 고려할 때, 향후 연구는 보다 정교한 연구 설계를 통해 대중교통 편리성이 자활의지와 삶의 만족도에 미치는 영향을 더욱 명확하게 검증하고, 지역별 특성을 반영한 분석을 통해 보다 실질적인 정책적 시사점을 도출할 필요가 있다.

다섯째, 본 연구는 조절효과 및 조절된 매개효과 검증을 위해 Hayes(2018)의 Process macro를 활용하였다. Process macro는 부트스트래핑 기법을 이용하여 변수 간의 복잡한 상호작용과 간접효과를 직관적으로 파악할 수 있다는 장점이 있으나, 구조방정식모형분석과 달리 오차항을 명시적으로 고려하지 못하는 한계점을 지닌다. 따라서 본 연구의 결과는 변수 측정에서 발생할 수 있는 오차항을 반영하지 못하였다. 향후 연구는 본 연구가 제시한 연구모형의 정확성을 높이기 위해 오차항을 명시적으로 고려할 수 있는 구조방정식을 통해 조절된 매개효과를 보다 엄밀하게 분석할 필요가 있다. 이를 통해 변수 간 관계의 정확성과 연구결과의 타당성을 높일 수 있을 것이다.

Acknowledgments

본 연구는 한국자활복지개발원의 “2023년 자활사업 참여자 실태조사” 원자료를 제공받아 수행되었음.

References

  • 강남식·신은주·성정현 (2002). 여성 조건부 수급자들의 실태와 자활의욕에 관한 연구. <사회복지연구>, 19, 23-50.
  • 구인회 (2002). 빈곤층의 사회경제적 특성과 빈곤 이행: 경제위기 이후의 시기를 중심으로. <한국사회복지학>, 48, 82-112.
  • 김병년·김상용 (2022). 노인의 우울이 삶의 만족도에 미치는 영향: 인지기능의 매개효과를 중심으로. <노년교육연구>, 8(1), 39-58.
  • 김승의 (2006). 자활사업참여자의 자활의욕 및 취업·창업관련 활동여부에 영향을 미치는 요인. 경기대학교 정치전문대학원 박사학위논문.
  • 김연주 (2018). 노인 일자리참여가 삶의 만족도에 미치는 영향-적응유연성의 매개효과를 중심으로. <인문사회 21>, 9(3), 691-701.
  • 김은경 (2023). 고령 친화적 지역사회 환경이 노인의 삶의 만족에 미치는 영향에 관한 연구. <비즈니스융복합연구>, 8(2), 21-26.
  • 김자영 (2019). 고령장애인의 빈곤과 우울감이 삶의 만족도에 미치는 영향: 자아존중감의 매개효과 검증. <한국보건사회연구>, 39(3), 148-178.
  • 김재경·박재학 (2020). 노인의 우울이 삶의 만족도에 미치는 영향: 가족관계의 매개효과와 조절효과 분석. <한국케어매니지먼트 연구>, 35, 5-29.
  • 김종경 (2012). 노인의 사회적지지와 사회활동에 따른 삶의 만족도. 경북대학교 석사학위논문.
  • 김주희·이홍직 (2023). 노인일자리 및 사회활동 지원사업 참여가 노인의 우울에 미치는 영향. <한국웰니스학회지>, 18(1), 105-110.
  • 김지혜·조성희 (2020). 미혼모의 자립의지가 삶의 만족에 미치는 영향-사회자본의 조절효과를 중심으로. <한국콘텐츠학회논문지>, 20(7), 478-490.
  • 노성향 (2022). 사회적지지가 성인 장애인의 삶의 만족도에 미치는 영향: 우울의 매개효과를 중심으로. <특수교육재활과학연구>, 61(3), 83-99.
  • 노희경 (2004). 자활사업 참여자의 근로의욕 증진에 영향을 미치는 요인에 관한 연구: 서울시 자활후견기관사업 참여자를 중심으로. 이화여자대학교 사회복지학과 석사학위논문.
  • 문경주 (2019). 지역사회의 물리적 환경조건과 지역사회자본이 중고령층 정주의식에 미친 영향에서의 삶의 만족도와 지역정체성의 매개효과. <공공정책연구>, 35(2), 201-233.
  • 박경숙·박능후 (2001). 저소득층 여성가장 생활실태 조사 및 자활프로그램 개발. 경기도.
  • 박경은·권미형ㆍ권영은 (2013). 여성노인의 우울, 죽음불안, 삶의 질의 관계. <한국보건간호학회지>, 27(3), 527-538.
  • 박금자 (1999). 중년기 여성의 우울 구조모형. 이화여자대학교 박사학위논문.
  • 박명옥·문재우 (2019). 노인일자리 참여 유형과 삶의 만족도와의 관계: 우울감의 매개효과를 중: 우울감의 매개효과를 중심으로. <한국콘텐츠학회논문지>, 19(2), 629-637.
  • 박미진 (2012). 노인의 우울과 지지네트워크가 삶의 만족감에 미치는 영향 빈곤노인과 비빈곤노인의 비교. <정신건강과 사회복지>, 40(1), 207-233.
  • 박소영·도광조·김동주 (2020). 자활사업 참여자의 자활의지 예측 변인에 대한 메타분석. <인문사회 21>, 11(6), 695-709.
  • 박영란·강철희 (1999). 저소득 모자가정 가구주의 자립의지에 영향을 미치는 요인들에 관한 연구. <한국가족복지학>, 3, 91-116.
  • 박영미·김병규 (2015). 노인일자리사업이 노인의 삶의 질에 미치는 영향에 관한 연구. <한국행정논집>, 27(1), 243-263.
  • 박장호 (2012). 자활사업 참여자의 주관적 건강이 자활의지에 미치는 영향; 전문가의 정서적 지지 조절효과. 연세대학교 석사학위논문.
  • 박주영 (2021). 자활사업이 참여자의 자립의지 및 만족도에 미치는 영향: 울산광역시 자활참여자 중심으로. <한국콘텐츠학회논문지>, 21(9), 580-594.
  • 배숙경·엄태영·이은진 (2012). 독거노인의 삶의 질에 대한 일상생활수행능력의 영향 및 우울의 매개효과 검증. <보건사회연구>, 32(4), 5-30.
  • 보건복지부 (2016). 자활사업 안내(Ⅰ).
  • 성소현·김가람 (2021). 일과 여가를 바탕으로 살펴본 발달장애인의 삶: 그들을 가두는 투명상자의 본질. <장애의 재해석>, (133-180쪽).
  • 송인욱·원서진 (2020). 베이비부머의 주관적 건강상태, 우울, 삶의 만족도의 관계: 근로여부에 따른 다중집단분석. <한국산학기술학회 논문지>, 21(6), 349-357.
  • 송인한·박장호·김리자 (2012). 자활의지에 영향을 미치는 요인의 성별 차이: 남성과 여성 자활사업 참여자 분석. <한국심리학회지: 여성>, 17(3), 457-474.
  • 안정훈·지선미·남미희·추여진·이윤희 (2010). 우울증, 자살 그리고 한국사회 Round-table Conference. (연구결과보고서). 1-109.
  • 엄태영 (2013). 한국 자활사업의 과거, 현재 그리고 미래 조망. <한국사회복지조사연구>, 36, 357-386.
  • 유동균·정현 (2022). 생활권 내 환경이 삶의 만족도에 미치는 영향 연구: 교통접근성 조절효과를 중심으로. <국토연구>, 75-95.
  • 이금숙 (1995). 지역 접근성 측정을 위한 일반모형. <응용지리>, 18, 25-55.
  • 이상도 (2019). 자활사업참여자의 자기효능감과 자립의지와의 관계. <한국지역사회복지학회 학술대회>, 171-179.
  • 이상준·안수영 (2011). 자아존중감과 우울이 중도지체장애인의 장애 수용에 미치는 영향: 사회적 지지의 조절효과 검증. <장애와 고용>, 21(3), 239-266.
  • 이서영·송희경 (2019). 중. 노년층 임금근로자의 고용형태에 따른 삶의 만족도. <한국노년학>, 39(3), 517-529.
  • 이유진·김의준 (2015). 의료시설 접근성과 대중교통 접근성이 농촌 및 도시 지역 거주 노인의 주관적 건강상태에 미치는 영향 분석: 일반화된 순서형 로짓 모형의 적용: 일반화된 순서형 로짓 모형의 적용. <한국지역개발학회지>, 27(1), 65-87.
  • 이은영 (2022). 발달장애 근로자의 근무조건이 직무만족도에 미치는 영향: 자립의지의 매개효과를 중심으로. <발달장애연구>, 26(3), 89-115.
  • 이인정 (2007). 남녀노인의 우울, 삶의 만족에 대한 심리사회적 요인들의 영향의 차이에 관한 연구. <노인복지연구>, 36, 159-179.
  • 이장범 (2012). 가출 청소년의 우울과 사회적 지지가 임파워먼트에 미치는 영향. 명지대학교 박사학위논문.
  • 이정민·홍민희 (2022). 자활사업 참여 근로자의 우울과 자활의지 간의 관계에서 낙관성의 조절효과. <산업과 과학>, 1(2), 1-8.
  • 이준상·김향아 (2017). 노인의 가족관계가 삶의 만족도에 미치는 영향: 우울의 매개효과를 중심으로: 우울의 매개효과를 중심으로. <한국웰니스학회지>, 12(2), 27-36.
  • 장소영 (2011). 일 지역 농촌노인의 가족지지, 우울, 삶의 질의 관계. 한양대학교 임상간호정보대학원 석사학위논문.
  • 장신재·조자영 (2014). 노인일자리사업 참여자의 삶의 질에 영향을 미치는 요인: 사회적 지지(사회활동, 가족/사회관계), 정서문제. <한국콘텐츠학회논문지>, 14(11), 225-235.
  • 전영주 (2001). 우울증을 매개로 한 청소년의 자살구상에 관한 가족 및 학교환경의 경로분석 모델. <대한가정학회지>, 39(1), 151-167.
  • 정무성 (1999). 한국 노숙자의 실체와 지원방안에 관한 연구. <사회과학연구>, 15, 39-53.
  • 정원오·김진구 (2005). 자활사업에 대한 참여자들의 주관적 평가와 자립전망: 경기지역 참여자들을 중심으로. <사회복지연구>, 28, 35-67.
  • 조영주 (2023). 자활사업 과정적 성과가 참여자 만족도에 미치는 영향: 자활실무자의 서번트리더십의 조절효과. <신학과 사회>, 37(4), 159-196.
  • 최별·이성규 (2019). 사회적 지지와 노숙인의 자활의지 간 우울의 매개효과. <정신건강과 사회복지>, 47(1), 119-146.
  • 최순례·이홍직 (2022). 여성 중고령자의 주관적 건강이 삶의 만족도에 미치는 영향: 우울의 매개효과. <생명연구>, 64, 169-186.
  • 허우긍 (2004). 교통지리정보시스템(GIS-T)에 기반한 접근성 분석. <지리학논총>, 43, 1-31.
  • Balbontin, C., Hensher, D. A., & Beck, M. J. (2023). How are life satisfaction, concern towards the use of public transport and other underlying attitudes affecting mode choice for commuting trips? A case study in Sydney from 2020 to 2022. Transportation research part A: policy and practice, 176, 1-18. [https://doi.org/10.1016/j.tra.2023.103827]
  • Baron, R. M., & Kenny, D. A. (1986). The moderator–mediator variable distinction in social psychological research: Conceptual, strategic, and statistical considerations. Journal of personality and social psychology, 51(6), 1173. [https://doi.org/10.1037/0022-3514.51.6.1173]
  • Begun, S., Bender, K. A., Brown, S. M., Barman-Adhikari, A., & Ferguson, K. (2018). Social connectedness, self-efficacy, and mental health outcomes among homeless youth: Prioritizing approaches to service provision in a time of limited agency resources. Youth & Society, 50(7), 989-1014. [https://doi.org/10.1177/0044118X16650459]
  • Cantwell, M., Caulfield, B., & O’Mahony, M. (2009). Examining the factors that impact public transport commuting satisfaction. Journal of public transportation, 12(2), 1-21. [https://doi.org/10.5038/2375-0901.12.2.1]
  • Costello, A. B., & Osborne, J. (2005). Best practices in exploratory factor analysis: Four recommendations for getting the most from your analysis. Practical assessment, research, and evaluation, 10(1), 1-9.
  • Deci, E. L., & Ryan, R. M. (2000). The" what" and" why" of goal pursuits: Human needs and the self-determination of behavior. Psychological inquiry, 11(4), 227-268. [https://doi.org/10.1207/S15327965PLI1104_01]
  • Dooley, D., & Prause, J. (2002). Mental health and welfare transitions: Depression and alcohol abuse in AFDC women. American journal of community psychology, 30(6), 787-813. [https://doi.org/10.1023/A:1020253002468]
  • Epel, E. S., Bandura, A., & Zimbardo, P. G. (1999). Escaping homelessness: the influences of self-efficacy and time perspective on coping with homelessness 1. Journal of applied social psychology, 29(3), 575-596. [https://doi.org/10.1111/j.1559-1816.1999.tb01402.x]
  • Friman, M., Gärling, T., Ettema, D., & Olsson, L. E. (2017). How does travel affect emotional well-being and life satisfaction?. Transportation research part A: policy and practice, 106, 170-180. [https://doi.org/10.1016/j.tra.2017.09.024]
  • Fujita, F., & Diener, E. (2005). Life satisfaction set point: stability and change. Journal of personality and social psychology, 88(1), 158. [https://doi.org/10.1037/0022-3514.88.1.158]
  • Hansen, W. G. (1959). How accessibility shapes land use. Journal of the American Institute of planners, 25(2), 73-76. [https://doi.org/10.1080/01944365908978307]
  • Hayes, A. F. (2018). Partial, conditional, and moderated moderated mediation: Quantification, inference, and interpretation. Communication monographs, 85(1), 4-40. [https://doi.org/10.1080/03637751.2017.1352100]
  • Hong, P. Y. P., Choi, S., & Key, W. (2018). Psychological self-sufficiency: A bottom-up theory of change in workforce development. Social Work Research, 42(1), 22-32. [https://doi.org/10.1093/swr/svx025]
  • Ku, I. H. (2002). Socio-economic characteristics of the poor and poverty transition in Korea: since the recent economic crisis. Korean journal of social welfare, 48, 82-112.
  • Lennon, M. C., Blome, J., & English, K. (2001). Depression and low-income women: Challenges for TANF and welfare-to-work policies and programs. [https://doi.org/10.1037/e322352004-032]
  • Locke, E., & Latham, G. (2015). Goal-setting theory. In Organizational Behavior 1 (pp. 159-183). Routledge.
  • Mattson, J., Brooks, J., Godavarthy, R., Quadrifoglio, L., Jain, J., Simek, C., & Sener, I. (2021). Transportation, community quality of life, and life satisfaction in metro and non-metro areas of the United States. Wellbeing, Space and Society, 2, 1-9. [https://doi.org/10.1016/j.wss.2021.100056]
  • Melchior, M., Chastang, J. F., Head, J., Goldberg, M., Zins, M., Nabi, H., & Younès, N. (2013). Socioeconomic position predicts long-term depression trajectory: a 13-year follow-up of the GAZEL cohort study. Molecular psychiatry, 18(1), 112-121. [https://doi.org/10.1038/mp.2011.116]
  • Neugarten, B. L., Havighurst, R. J., & Tobin, S. S. (1961). The measurement of life satisfaction. Journal of gerontology, 16, 134-43. [https://doi.org/10.1093/geronj/16.2.134]
  • Rossi, F., Mariotti, I., & Pantelaki, E. (2023). Local public transport and neighbourhood satisfaction: The effect on older adults’ subjective wellbeing. Research in Transportation Business & Management, 51, 1-14. [https://doi.org/10.1016/j.rtbm.2023.101058]
  • Smith, C. A., & Lazarus, R. S. (1990). Emotion and adaptation. Handbook of personality: Theory and research, 21, 609-637.
  • Spinney, J. E., Scott, D. M., & Newbold, K. B. (2009). Transport mobility benefits and quality of life: A time-use perspective of elderly Canadians. Transport policy, 16(1), 1-11. [https://doi.org/10.1016/j.tranpol.2009.01.002]
  • Trope, Y., & Liberman, N. (2010). Construal-level theory of psychological distance. Psychological review, 117(2), 440. [https://doi.org/10.1037/a0018963]
  • Wong, C. K., & Lou, V. W. Q. (2010). “I wish to be self-reliant”: Aspiration for self-reliance, need and life satisfaction, and exit dilemma of welfare recipients in Hong Kong. Social indicators research, 95, 519-534. [https://doi.org/10.1007/s11205-009-9524-8]

<그림 1>

<그림 1>
연구모형

<그림 2>

<그림 2>
확인적 요인분석 모형적합도

<그림 3>

<그림 3>
경로분석

<그림 4>

<그림 4>
자활의지와 삶의 만족도 간 관계

<그림 5>

<그림 5>
우울과 삶의 만족도 간 관계

<표 1>

표본 특성

구분 빈도(명) 백분율(%)
합계 5,683 100
성별 남성 2,502 44.0
여성 3,181 56.0
거주지 서울 1,224 21.5
부산 596 10.5
대구 361 6.4
인천 409 7.2
광주 260 4.6
대전 190 3.3
울산 91 1.6
세종 19 .3
경기 701 12.3
강원 275 4.8
충북 207 3.6
충남 141 2.5
전북 257 4.5
전남 223 3.9
경북 244 4.3
경남 403 7.1
제주 82 1.4
학력 무학 97 1.7
초졸 408 7.2
중졸 788 13.9
고졸 2,916 51.3
대졸 이상 865 15.2
무응답 609 10.7
자활사업
참여 기간
1년 미만 1,784 31.4
1년 이상~3년 이하 2,136 37.6
3년 초과 1,763 31.0

<표 2>

측정 도구

구분 설문문항
자활 의지
(4문항)
“나는 마음만 먹으면 무슨 일이든 잘 해낼 수 있다”
“나는 일자리를 구하거나 일하는 내 모습에 만족한다”
“나는 내가 원하는 직장에서 일할 수 있다”
“나는 일하면서 마주치는 어려움을 극복할 수 있다”
* “1: 전혀 그렇지 않다, 3: 보통이다, 5: 매우 그렇다”
삶의 만족도
(7문항)
“자신의 건강상태”
“자신의 경제상태”
“주거 환경”
“가족 관계”
“사회, 여가, 문화 활동”
“친구 및 지역사회와의 관계”
“삶 전반”
* “1: 전혀 만족하지 않음, 3: 그저 그렇다, 5: 매우 만족함”
우울
(8문항)
“매사에 흥미나 즐거움이 없다”
“우울하거나 희망이 없다고 느낌”
“피곤하다고 느끼거나 기운이 없다”
“식욕이 줄었거나 너무 많이 먹는다”
“자신이 실패자로 여겨지거나 가족을 실망하게 했다고 느낀다”
“일상적인 일에 집중하기 어렵다”
“평소보다 말과 행동이 느리다, 안절부절해 가만히 있을 수 없다”
“죽는게 낫겠다고 생각하거나 자해를 하려고 생각한다”
* “0: 없음, 1: 며칠동안, 2: 1주일 이상, 3: 거의 매일”
대중교통 편리성
(1문항)
“대중교통이 편리하다”
* “1: 전혀 그렇지 않다, 3: 보통이다, 5: 매우 그렇다”

<표 3>

타당도ㆍ신뢰도 검증

구분 우울 삶의 만족도 자활의지
 자활의지1 -.158 .121 .820
자활의지2 -.136 .143 .823
자활의지3 -.112 .215 .742
자활의지4 -.199 .090 .791
삶의 만족도1 -.308 .590 .178
삶의 만족도2 -.145 .738 .051
삶의 만족도3 -.071 .721 .026
삶의 만족도4 -.197 .604 .120
삶의 만족도5 -.172 .756 .095
삶의 만족도6 -.228 .668 .220
삶의 만족도7 -.305 .735 .223
우울1 .728 -.248 -.166
우울2 .775 -.266 -.183
우울3 .674 -.247 -.106
우울4 .682 -.191 -.063
우울5 .682 -.323 -.124
우울6 .761 -.180 -.112
우울7 .699 -.034 -.120
우울8 .689 -.111 -.123
KMO .926
고유값 4.490 3.805 2.814
분산설명비율(%) 23.632 20.028 14.813
누적분산비율(%) 23.632 43.660 58.474
문항 수 8 7 4
신뢰도 .884 .852 .836

<표 4>

기술통계 및 상관관계

구분 M SD Max Min 1 2 3
1. 자활의지 3.69  .83 1 5 1
2. 삶의 만족도 2.77  .73 1 5  .384** 1
3. 우울  .65  .66 0 3 -.383** -.548** 1
4. 대중교통 편리성 3.51 1.03 1 5  .174**  .273** -.174**

<표 5>

확인적 요인분석 모형적합도

구분 CMIN(χ2) DF CMIN/DF RMR RMSEA GFI TLI CFI
4요인: 자활의지, 삶의 만족도, 우울, 대중교통 편리성
3요인: 자활의지 + 삶의 만족도, 우울, 대중교통 편리성
2요인: 자활의지 + 삶의 만족도 + 우울, 대중교통 편리성
1요인: 자활의지 + 삶의 만족도 + 우울 + 대중교통 편리성
적합도 - - <.05 <.08 >.9 >.9 >.9
4요인  4837 165  26.6 .039 .067 .921 .917 .917
3요인 10785 168  64.2 .076 .105 .800 .792 .792
2요인 17289 170 101.7 .096 .133 .688 .665 .665
1요인 48328 171 282.6 .278 .223 .326 .057 .057

<표 6>

경로분석 모형적합도

구분 CMIN(χ2) DF CMIN/DF RMR RMSEA GFI IFI CFI
기준 - - <.05 <.08 >.9 >.9 >.9
적합도 4930.6 203 24.2 .039 .064 .918 .908 .908

<표 7>

경로분석 결과

가설 경로 Estimate(B) S.E. C.R. 총 효과 직접효과(β) 간접효과 결과
N=5,683, *p<.05, **p<.01, ***p<.001
1 자활의지 → 삶의 만족도  .192 .013  14.395***  .214***  .214*** 지지
2 자활의지 → 우울 -.464 .016 -28.203*** -.444*** -.444*** 지지
3 우울 → 삶의 만족도 -.464 .015 -30.993*** -.541*** -.541*** 지지
4 자활의지 → 우울 → 삶의 만족도 .454***  .214*** .240*** 지지
통제변수: 성별, 학력, 자활 참여기간

<표 8>

조절 및 조절된 매개모형에서 대중교통 편리성의 조절효과 분석

구분 매개변수 모형(우울) 종속변수 모형(삶의 만족도)
Coeffect SE t값 Coeffect SE t값
N=5,683, *p<.05, **p<.01, ***p<.001
LLCI = 95%신뢰구간 내 부트스트랩 하한 값 / ULCI = 95% 신뢰구간 내 부트스트랩 상한 값
상수 -.032 .031 -1.042 2.621 .029 89.392***
독립변수 자활의지 -.308 .010 -31.328***  .160 .010 15.725***
매개변수 우울 -.516 .013 -40.124***
조절변수 대중교통 편리성  .112 .008 14.678***
상호작용항 자활의지 ×
대중교통 편리성
 .023 .009 2.504*
우울 ×
대중교통 편리성
-.068 .012 -5.689***
자활의지 ×
대중교통 편리성
R2 변화량 .001
F 6.267*
삶의 만족도 ×
대중교통 편리성
R2 변화량 .004
F 32.364***
구분 Coeffect SE t값 Coeffect SE t값
통제변수 성별 .067 .016 -1.042 .127 .016 8.123***
학력 .006 .005 1.423 .001 .004  .302
자활 참여기간 -.017 .010 -1.595 .031 .010 3.123**
모형 요약 R2 .150 .377
F 249.503*** 428.588***
자활의지가 삶의 만족도에 미치는 조건부 효과
대중교통 편리성 Effect(B) se t값 LLCI ULCI
-1.0320(M-SD) .136 .013 10.231*** .110 .163
0000(M) .160 .010 15.725*** .140 .180
1.0320(M+SD) .183 .014 12.854*** .155 .211
우울이 삶의 만족도에 미치는 조건부 효과
대중교통 편리성 Effect(B) se t값 LLCI ULCI
-1.0320(M-SD) -.446 .016 -27.724*** -.478 -.415
0000(M) -.516 .013 -40.124*** -.542 -.491
1.0320(M+SD) -.586 .019 -30.231*** -.624 -.548

<표 9>

대중교통 편리성의 조건부 간접효과 분석

직접효과(자활의지 → 삶의 만족도)
대중교통 편리성 Effect se t LLCI ULCI
N=5,683, *p<.05, **p<.01, ***p<.001
LLCI = 95%신뢰구간 내 부트스트랩 하한 값
ULCI = 95% 신뢰구간 내 부트스트랩 상한 값
-1.0320(M-SD) .136 .013 10.231*** .110 .163
.0000(M) .160 .010 15.725*** .140 .180
1.0320(M+SD) .183 .014 12.854*** .155 .211
조건부 간접효과(자활의지 → 우울 → 삶의 만족도)
대중교통 편리성 Effect(B) BootSE BootLLCI BootULCI
-1.0320(M-SD) .137 .007 .123 .152
.0000(M) .159 .007 .146 .172
1.0320(M+SD) .181 .009 .164 .198
조절된 매개 지수
구 분 Index BootSE BootLLCI BootULCI
대중교통 편리성 .021 .004 .012 .029